标准在线智能协同编写系统
授权修改
退出登录
返回我的标准库
标准生成
保存版本
批注
规范性引用文件
相似度比对
术语和定义
指标加工
审校与审核
版本比对
批注描述
批注列表
批注截图:
确定
重置
批注列表展示:
本文是否有规范性引用文件:
是
否
收起
查询
重置
相似度比对功能说明:
1.使用说明:
右键选中编辑区正文内容(包含段落、标题、语句,不包含图片、表格、公式等非文本内容),选择“相似度比对”项,比对结果会在此栏目中显示。
2.功能简介:
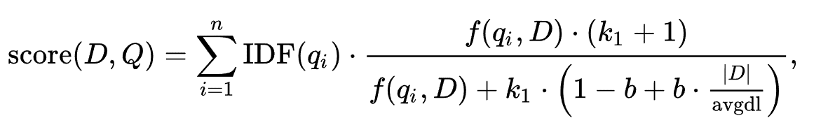
相似度模型是定义了相似度的抽象和度量,系统采用Solr作为相似度模块的模型支撑和算法实现,并根据实际需求进行了得分算法的优化和参数调优。
系统采用的相似度模型是BM25,基于词频的算分公式,TF-IDF属于向量空间模型,而BM25属于概率模型,两种相似度模型都使用idf方法和tf方法的某种乘积来定义单个词项的权重,然后把和查询匹配的词项的权重相加作为整篇文档的分数。
其中IDF为:
调节参数主要是对 k1和b的调节的,合理的参数值取决于文档数据。不断尝试和修正错误,相对来说调节参数的作用还是很大的,至少给我们调节文档和查询的相关性提供了一个途径。
下列术语和定义适用于本文件。
......界定的术语和定义适用于本文件。
......界定的以及下列术语和定义适用于本文件。
本文件没有需要界定的术语和定义。
中文名称
英文名称
术语和定义
来源标准
来源章节
术语标注
添加至正文
清空
新增指标
加工历史
标准类别:
体例:
标准化对象:
指标项:
范围:
--请选择范围--
>
<
=
>=
<=
[*]
(*]
[*)
(*)
指标值:
计量单位:
一级限定类:
二级限定类:
三级限定类:
揭示内容:
指标与质量关系:
--请选择指标与质量关系--
无确定关系
指标越高越好
指标越低越好
指标越接近参考值越好
指标参考值:
揭示内容注释:
逻辑词:
指标所在词:
引用标准原文:
保存
请选择进行校验的类型
敏感内容检查
上下文查重
参考文献格式检查
版面要素检查
校验
暂无修改记录
请选择比对版本
Option 1
Option 2
Option 3
比对
重置
正在加载数据,请稍等片刻...
新增子目录
前方插入同级目录
后方增加同级目录
删除当前选中节点
×
确认
级联删除子节点
请用户输入需要保存的版本名
确定
标准名称:
英文名称:
ICS分类号:
CSS分类号:
标准号:
代替标准号:
发布日期:
实施日期:
确认导入模板
标准名称:
英文名称:
ICS分类号:
CSS分类号:
所属行业:
行业编码:
标准号:
发布日期:
实施日期:
发布单位:
确认导入模板
标准名称:
英文名称:
ICS分类号:
CSS分类号:
省份:
省份编号:
标准号:
发布日期:
实施日期:
确认导入模板
标准名称:
英文名称:
ICS分类号:
CSS分类号:
团体编码:
标准号:
发布日期:
实施日期:
发布单位:
确认导入模板
标准名称:
英文名称:
ICS分类号:
公司名称:
公司编码:
标准号:
发布日期:
实施日期:
确认导入模板
正在导出数据,请稍等片刻...